Part Of: Culture sequence
Content Summary: 3200 words, 16 min read
Relational Mobility vs Fixedness
Since the Neolithic Revolution, the vast majority of human beings have spent their days as subsistence farmers. These people do not have many choices about joining groups, or even who they marry. One is more or less stuck with one’s extended family and a few friends. If a farmer’s relationship with these people fails, there is no recourse. Reinventing yourself is not an option; relational fixedness is your reality. Henrich (2020) describes the social worlds that emerge:
Throughout most of human history, people grew up enmeshed in dense family networks that knitted together distant cousins and in-laws. In these regulated-relational worlds, people’s survival, identity, security, marriages, and success depended on the health and prosperity of kin-based networks, which often formed discrete institutions known as clans, lineages, houses, or tribes.
Within these enduring networks, everyone is endowed with an extensive array of inherited obligations, responsibilities, and privileges in relation to others in a dense social web. The social norms that govern these relationships constrain people from shopping widely for new friends, business partners, or spouses. Instead, they channel people’s investments into a distinct and largely inherited in-group. Many kin-based institutions not only influence inheritance and the residence of newly married couples, they also create communal ownership of property (e.g., land is owned by the clan) and shared liability for criminal acts among members (e.g., fathers can be imprisoned for their sons’ crimes).
In contrast, some modern societies allow people to leave toxic relationships and groups, and join others. The new calculus involves not only “how do I gain status”, but also “where should I gain status”.
Relational mobility is well illustrated by the WaitButWhy concept of the relationship mountain:
Idiocentric people distribute their relational energy broadly. In contrast, allocentric people have steeper mountains (acquaintances are strangers), and less control on who inhabits its slopes. This contrast also applies at more granular levels of detail. Majority-idiocentric societies are individualistic, and societies with mostly allocentric psychologies are collectivist.
Your social environment plays a tremendous role in shaping your psychological development. Children enculturated in a relationally mobile context learn to listen to “their inner voice”, reason analytically, and adopt a universal morality. Children in relationally fixed worlds, in contrast, pay much more attention to the quality of these relationships, and their cognitive style and moral posture reflect the primacy of their in-group.
Two Social Orientations
In Granite In Every Soul, I sketched an important distinction between social identity versus self-concept.
Back then I wrote, “Social change causes dramatic fluctuations within your social identity, but decision making requires consistency. Your brain can resolve this tension by relying more heavily on self-concept.”
We can prove this! When given the prompt “I am…”, socially static people answer in the language of social identity: a father, a husband, etc. But Western, Educated, Individualistic, Rich, Democratic (WEIRD) nations answer in a language of personal attributes: kind, a hard worker, etc.
Another example. In traditional parts of Indonesia, people do not use personal names, but rather they use teknonyms (the equivalent of “the second son of the Smith family”). In other words, the person is not treated as an autonomous individual but an appendage of the group, in this case the family.
Success in a socially rigid world means conforming to group opinion. The Japanese proverb, “the nail that stands out gets pounded down” contrasts with the individualist proverb to “be yourself”. Indeed, as measured by the Asch conformity test (answering “how long is this line?” when confederates give the obviously-incorrect answer), collectivist cultures are more likely to conform to the group.
More generally, WEIRD nations express the syndrome described by Hofstede (2003) as the individualism syndrome. You think it’s normal to emphasize autonomy and “individual rights” above harmony? Normal to prioritize individual achievement over one’s group? Normal to leave a group if you do not enjoy being a member?
All of these national measurements co-vary: if people in your culture uses the language of relationship to describe itself, it will very often conform more too. Hofstede (2003) takes advantage of this fact to summarize all of the above measurements into a single individualism score.
Analytic vs Holistic Cognition
Some cognitive content is fixed, or culturally invariant. Naive theories of mechanics and physics (e.g., Aristotelian physics), naive theories of biology (e.g., essentialism), and naive theory of mind (e.g., dualism) appear so early and are so widespread that it seems quite likely that at least some aspects of them are largely innate and resistant to social modification.
But culture does exert an influence on many other cognitive traits. Given that human beings are social animals, is it really so surprising our social worlds are projected onto our habits of thought?
People immersed in a socially static world rely on social identities, which is heavily sensitive to the norms imbued within a situation. They tend to express a tacit version of situationist psychology: the situation dictates behavior. In contrast, socially dynamic worlds incentivize the use of self-concept, where you ascribe attributes to yourself. Individualists use a dispositional framework, with significant downstream effects.
The fundamental attribution error, the tendency to explain behavior excessively by someone’s intrinsic attributes rather than by the situation involved, was originally suspected to be a human universal. But it turns out that this bias is not present in collectivist cultures (Norenzayan et al. 2002). You are much less prone to make this mistake if you lack a robust concept of personality.
In collectivist culture, with its emphasis on multifaceted social identity, social behavior tends to be more relationship-specific. In individualist cultures, these very same behaviors are typically condemned as hypocritical and contradictory. Indeed, cognitive dissonance (an aversion to discovering contradiction within yourself) is not a human universal; rather, it is primarily expressed in individualist cultures. This tolerance for relationship-specificity/contradiction is is nicely illustrated by this Triandis vignette: “I had a friend from India who told me he was a meat-eating vegetarian. When I asked him how could this be, he replied ‘well, I am a vegetarian, but when other people are eating meat, I do too.’”
When idiocentrics see social contradiction, they debate who is right. But allocentrics try to find elements of truth in opposing positions (a dialectical approach). This Middle Way also serves to promote harmony, and preclude relationship collapse.
Confusingly, individualism & collectivism are also associated with non-social effects. Consider the triad categorization task, where you are asked whether a glove is more related to a scarf, or a hand. Individualist countries resonate to the former (using the analytical concept of CLOTHING); collectivist ones resonate with the latter (using affordance relations; what is done with the glove). This proclivity for parsing the world in terms of objects versus relations must explain why language learners in collectivist nations tend to learn verbs more quickly than nouns, and vice versa.
Allocentric people spend lots of time with the same individuals. Familiarity breeds communicative efficiency: you can say more with fewer words. Thus, collectivist cultures typically feature high-context communication. An example from Triandis (1994)
For example, in Indonesia, a lower-class man and an upper-class woman met secretly and got to the point where they wanted to marry. They informed their parents, and following protocol the man’s mother visited the woman’s mother. The latter served her tea and bananas. Since tea is never served with bananas, that was a “dissonant” stimulus that said “no,” without actually saying the word. Both women saved face.
In contrast to high-context cultures, we see low-context cultures which pay much less attention to nonverbal cues. Since many more interactions are unfamiliar, everything is spelled out more explicitly.
Surprisingly, this social emphasis on context manifests as differences in extremely low-level perceptual processes. For example, in the rod and frame test, people are asked to vertically align a rod, pictured within a rectangular frame. Idiocentric, object-centric people perform noticeably better than context-aware allocentrics; this phenomenon is known as field dependence. Ji et al (2000) also show how allocentrics are also much better at detecting covariation when different objects of a picture are simultaneously distorted.
San Martin et al (2019) show that relational mobility predicts these cognitive patterns. Taken together, the I/C dimension is associated with two distinct cognitive patterns: analytic versus holistic cognition.
The Locus of Control Hypothesis
It’s fairly easy to trace a link from relational mobility to differences in social orientation and morality. But what possible relationship could there be between relational mobility and field dependence?
Is the relationship coincidence? We might hypothesize linguistic, genetic, history of thought, or other unrelated cultural forces drive the analytic vs holistic continuum.
But, per Varnum et al (2010), two streams of evidence suggest the answer is “no”. First, social orientation and cognitive style don’t just co-vary between the United States and East Asia. Covariation has also been found e.g., between European nations. The phenomena also covary within countries, such as Hokkaido Japanese vs Mainland Japan, US working-class vs middle class, Orthodox vs secular Jews. Second, when you prime a subject with social orientation, the corresponding cognitive style is expressed.
So the social ecology we inherit from our parents shapes our cognitive style. But why?
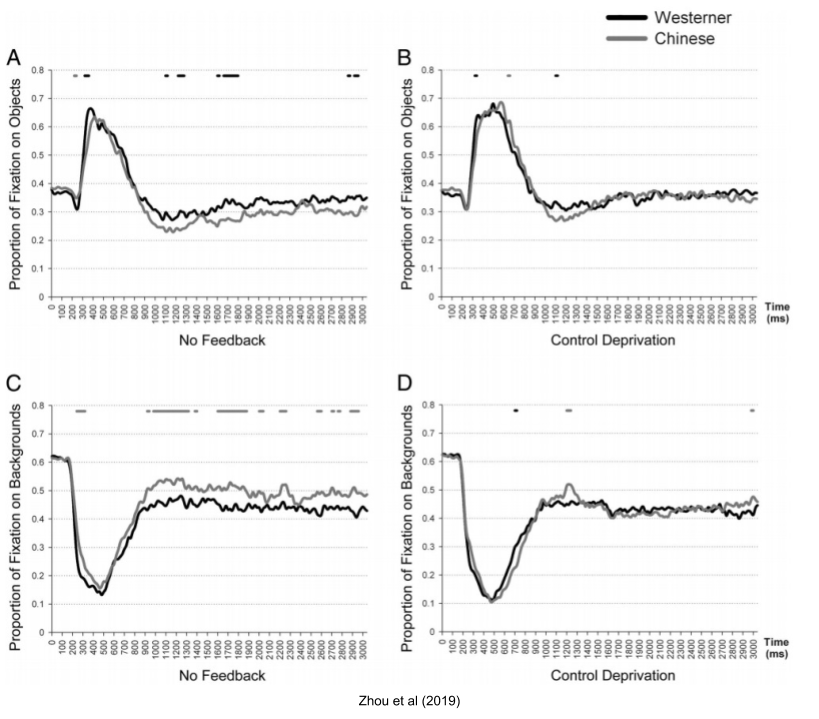
One suggestion is the locus of control hypothesis. It turns out that desire for personal control is lower among East Asians than among Westerners. When Zhou et al (2012) experimentally induced desire for control (via deprivation), allocentrics start to think more analytically!
They also found that control deprivation made East Asians …
- … shift toward favoring logical arguments rather than dialectical ones.
- … categorize by rules rather than relations/similarities.
- … more open to and more convinced by arguments that were logically sound but employed unintuitive exemplars.
- … predict the future more by linear extrapolation extending current trends rather than by expecting reversals toward holistically balanced opposites.
San Martin et al (2019) show that locus of control statistically mediates the relationship between relational mobility and analytic cognition. Loss of control also stimulates approach motivation (Greenway et al 2013). Approach motivation is more frequently used by idiocentrics (Elliot et al 2001). Approach motivational processes are predominantly left-lateralized (Jonas et al 2014). This may explain why idiocentric psychology relies so heavily on the left hemisphere, and vice versa for allocentrics (Rozin et al 2016).
I have not yet found an explanation for why this cluster of mechanisms explain the features of analytic cognition (what does control have to do with field dependence?) But a complete account of control, power, and approach vs avoidance might be able to establish a more complete picture. In the meantime, I will content myself with the knowledge that the mediation of these cognition effects is at least partially identifiable.
Two Moral Systems
Consider the Passenger’s Dilemma:
You are riding in a car driven by a close friend. He hits a pedestrian. You know that he was going at least 35 mph in a speed zone of 20 mph. There are no witnesses, except for you. His lawyer says that if you testify under oath that he was driving only 20 mph, it may save him from serious legal consequences. Do you think 1) that your friend has a right to expect you (as his close friend) to testify that he was going 20mph; or 2) that your friend has no right to expect false testimony.
In a socially rigid world, the “right thing to do” is to lie for your friend. In a socially mobile world, the “right thing to do” is to act on universal principles. Individualistic nations are much more likely to not use false testimony.
Jonathan Haidt’s Moral Foundation Theory acknowledges a bifurcation between impersonal vs interpersonal moralities. To quote Haidt (2012).
The ethic of autonomy is based on the idea that people are, first and foremost, autonomous individuals with wants, needs, and preferences. People should be free to satisfy these wants, needs, and preferences as they see fit, and so societies develop moral concepts such as rights, liberty, and justice, which allow people to coexist peacefully without interfering too much in each other’s projects. This is the dominant ethic in individualistic societies. You find it in the writings of utilitarians such as John Stuart Mill and Peter Singer (who value justice and rights only to the extent that they increase human welfare), and you find it in the writings of deontologists such as Kant and Kohlberg (who prize justice and rights even in cases where doing so may reduce overall welfare).
But as soon as you step outside of Western secular society, you hear people talking in two additional moral languages. The ethic of community is based on the idea that people are, first and foremost, members of larger entities such as families, teams, armies, companies, tribes, and nations. These larger entities are more than the sum of the people who compose them; they are real, they matter, and they must be protected. People have an obligation to play their assigned roles in these entities. Many societies therefore develop moral concepts such as duty, hierarchy, respect, reputation, and patriotism. In such societies, the Western insistence that people should design their own lives and pursue their own goals seems selfish and dangerous— a sure way to weaken the social fabric and destroy the institutions and collective entities upon which everyone depends.
The ethic of divinity is based on the idea that people are, first and foremost, temporary vessels within which a divine soul has been implanted. People are not just animals with an extra serving of consciousness; they are children of God and should behave accordingly. The body is a temple, not a playground. Even if it does no harm and violates nobody’s rights when a man has sex with a chicken carcass, he still shouldn’t do it because it degrades him, dishonors his creator, and violates the sacred order of the universe. Many societies therefore develop moral concepts such as sanctity and sin, purity and pollution, elevation and degradation. In such societies, the personal liberty of secular Western nations looks like libertinism, hedonism, and a celebration of humanity’s baser instincts
Indeed, Enke (2019) shows that individualist nations score higher in the universal moral sentiments (Harm & Fairness); whereas collectivist nations score more highly in parochial moral sentiments (Loyalty, Authority, and Sanctity).
Let’s turn to the moral relevance of intention. All people possess the mindreading faculty, which generates guesses about the intentions of others. Because idiocentric people more strongly believe in personality, they are more likely to use these inferences while judging the actions of others. When asked to judge the badness of accidental versus intentional theft, WEIRD countries are much more likely to evaluate the cases separately.
Relational mobility permits leaving behind damaged reputations, making reputations in individualistic societies a less reliable source of information. Ironically, trust and norm internalization may be most vital in individualistic environments (Sosis 2005).
Finally, idiocentric people are much more likely to experience guilt (an internal motivation), rather than shame (an external-relational emotion).
Moral systems are not human universal. There are two moralities, not one. Relational mobility determines which morality you internalized as a child.
Residential Mobility
A questionnaire from Lun et al (2012) asked participants who they liked more:
- the egalitarian who splits her time between helping the friend and the stranger
- the loyal friend, who only helped her friend
One of your potential partners always preferred the egalitarian helper. The other always liked the loyal friend. Who do you want to work with?
Did your family move residences while you were a child?
If you haven’t, there’s a 90% chance you prefer the non-egalitarian friend. If you moved once as a child, the percentage dropped to 75 percent. If you move more than once, the percentage drops to 62 percent.
Experiments like this show that residential moves, and their concomitant need for new relationships, activates the idiocentric syndrome, including impersonal prosociality. strengthen people’s preferences for egalitarianism and improve how they treat strangers. These experiences strengthen egalitarian intuitions, flatten the in-group vs out-group distinction, and shift people away from relying too heavily on their long-enduring social networks.
The same effect can be produced experimentally. Subconscious primes of residential mobility increase people’s motivations to expand their social networks—to establish and nourish new relationships.
Residential mobility produces relational mobility. Thus, moving promotes idiocentrism.
Summary
When you encounter a culture truly different from your own, it is easy and natural to feel a sense of wonder and amazement.
There is a tendency to associate that reverence with a belief that every culture is unique, like a snowflake. But that conclusion need not follow.
To build a theory of cultural difference, it helps to remember concepts from dimensionality reduction algorithms like PCA. There are thousands of differences across cultures, true; but it is possible to identity which phenomena vary together.
The individualism/collectivism continuum, or I/C dimension was one of the first dimensions discovered by Hofstoede, while mining through survey data from IBM offices across the continents. In all the voluminous research outlined above, it is worth noting that the mean differences are often very large, typically on the order of 2:1, 3:1 or higher (Nisbett et al 2001). This is why the I/C dimension is held to be the most significant dimension of human cultural variation (Triandis 1994).
Recall the I/C dimension explains why cognitive, social and moral differences covary, and are largely explained by a single factor: relational mobility.
A couple reminders here:
- The I/C dimension is a continuous, not a binary, variable.
- The I/C dimension, while originally studied as East Asia vs United States, manifests in all nations, and within all nations.
Is the I/C dimension the only significant driver of global psychological variation? By no means! Cross-cultural psychology has revealed (at least) three other dimensions that explain much cultural variation:
Until next time.
References
- Bond & Smith (1996). Culture and Conformity: A Meta-Analysis using Asch’s (1952b, 1956)
- Elliot et al (2001). A Cross-Cultural Analysis of Avoidance (Relative to Approach) Personal Goals.
- Enke (2017). Kinship Systems, Cooperation and the Evolution of Culture
- Greenway et al (2015). Loss of control stimulates approach motivation.
- Haidt (2012). The Righteous Mind: why good people are divided by politics and religion
- Hofstede, G. (1980). Culture’s consequences: International differences in work-related values
- Hsu et al (2012). Critical Tests of Multiple Theories of Cultures’ Consequences
- Inglehart & Baker (2000). Modernization, cultural change, and the persistence of traditional values
- Jonas et al (2014). Threat and Defense: From Anxiety to Approach
- Lun et al (2012). Residential mobility moderates preferences for egalitarian versus loyal helpers
- Ji et al (2000). Culture, Control, and Perception of Relationships in the Environment
- Ma & Schoeneman (1997). Individualism vs Collectivism: a comparison of Kenyan and American self-concepts
- Marcus & Kitayama (1991). Culture and the Self: Implications for Cognition, Emotion, and Motivation
- Nisbett et al (2001). Culture and systems of thought: holistic versus analytic cognition.
- Norenzayan & Nisbett (2000). Culture and Causal Cognition
- Rozin et al (2016). Right: Left:: East: West. Evidence that individuals from East Asian and South Asian cultures emphasize right hemisphere functions in comparison to Euro-American cultures
- San Martin et al (2019). Relational Mobility and Cultural Differences in Analytic and Holistic Thinking
- Schwartz, S. H. (2006). A theory of cultural value orientations: Explication and applications
- Sosis (2005). Does Religion Promote Trust? The Role of Signaling, Reputation, and Punishment
- Steenkamp (2001). The role of national culture in international marketing research.
- Triandis (1994). Culture and social behavior.
- Trompenaars & Hampden-Turner (1998). Riding the waves of culture: Understanding diversity in global business.
- Varnum et al (2010). The Origin of Cultural Differences in Cognition: Evidence for the Social Orientation Hypothesis
- Zhou et al (2011). Control Deprivation and Styles of Thinking




