Getting Real With Continued Fractions

Content Summary: 600 words, 6 min read

And now, an unprovoked foray into number theory!

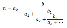
Simple Continued Fractions (SCFs)

Have you run into simple continued fractions in your mathematical adventures? They look like this:

scf

Let A represent the coefficients (a_0, a_1, a_2, a_3, ...) and B = ( b_1, b_2, b_3, ...). If you fix B = (1, 1, 1, ...) you can uniquely represent n with A(n). For example:

n = \frac{415}{93} = 4+\frac{1}{2+\frac{1}{6+\frac{1}{7}}}

A(n) = (4,2,6,7)

Let us call A(n) the leading coefficients of n. Here we have represented the rational \frac{415}{93} with four coefficients. It turns out that every rational number can be expressed with a finite number of leading coefficients.

Continued Fractions- Number Properties v1

Irrational Numbers

Life gets interesting when you look at the leading coefficients of irrational numbers. Consider the following:

A(\phi) = (1, 1, 1, 1, 1, 1, 1, ...)

A(\sqrt{19}) = (4, 2, 1, 3, 1, 2, 8, 2, 1, 3, 1, 2, 8, ...)

A(e) = (2, 1, 2, 1, 1, 4, 1, 1, 6, 1, 1, 8, ...)

A(\pi) = (3, 7, 15, 1, 292, 1, 1, 1, 2, 1, 3, 1, ...)

First note that these irrational numbers have an infinite number of leading coefficients.

What do you notice about A(\phi)? It repeats, of course! What is the repeating sequence for A(\sqrt{19})? The sequence 213128.

How about A(e)? Well, after the first two digits, we notice an interesting pattern 211 then 411 then 811. The value of this triplet is non-periodic, but easy enough to compute. The situation looks even more bleak when you consider the A(\pi)

Thus \phi (golden ratio) and \sqrt{19} feature repeating coefficients, but \pi and e (Euler’s number) do not. What differentiates these groups?

Of these numbers, only the transcendental numbers fail to exhibit a period. Can this pattern be generalized? Probably. 🙂 There exists an unproved conjecture in number theory, that all infinite, non-periodic leading coefficients with bounded terms are transcendental.

Continued Fractions- Number Properties

Real Approximation As Coefficient Trimming

Stare the digits of \pi. Can you come up with a fraction that approximates it?

Perhaps you have picked up the trick that \frac{22}{7} is surprisingly close:

\pi = 3.14159265359

\dfrac{22}{7} = \textbf{3.14}285714286

But could you come up with \frac{22}{7} from first principles? More to the point, could you construct a fraction that comes yet closer to \pi ‘s position on the number line?

Decomposing these numbers into continued fractions should betray the answer:

A(\pi) = (3, 7, 15, 1, 292, 1, 1, 1, 2, 1, 3, 1, ...)

A\left(\dfrac{22}{7}\right) = (3, 7)

We can approximate any irrational number by truncating A(\pi). Want a more accurate approximation of \pi? Keep more digits:

(3, 7, 15, 1) = A(\dfrac{355}{113})

\dfrac{355}{113} = \textbf{3.141592}92035

I’ll note in passing that this style of approximation resembles how algorithms approximate the frequency of signals by discarding smaller eigenvalues.

About π

Much ink has been spilled on the number \pi. For example, does it contain roughly equal frequencies of 3s and 7s? When you generalize this question to any base (not just base 10), the question becomes whether \pi is a normal number. Most mathematicians suspect the answer is Yes, but this remains pure conjecture to-date.

Let’s return to the digits of A( \pi ). Here is a graph of the first two hundred:

scfa_pi_200

Do you see a pattern? I don’t.

Let’s zoom out. This encyclopedia displays the first 20,000 coefficients of A( \pi ):

scfa_pi_20k

So A(\pi) affords no obvious pattern. Is there another way to generate the digits of \pi such that a pattern emerges?

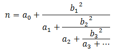
Let quadratic continued fraction represent a number n expressed as:

qcf

Set A = (1, 2, 2, 2, 2, ... ). Here only B = ( b_1, b_2, b_3, ...) is allowed to vary. Astonishingly, the following fact is true:

B\left(\dfrac{4}{\pi}\right) = (1, 3, 5, 7, 9, 11, 13, 15, 17... )

Thus, continued fractions allow us to make sense out of important transcendental numbers like \pi.

I’ll close with a quote:

Continued fractions are, in some ways, more “mathematically natural” representations of a real number than other representations such as decimal representations.

Leave a comment